关于敦促相关银行卡所有人配合公安机关调查的通告

关于敦促相关银行卡所有人
配合公安机关调查的通告
近日,枣庄市公安局峄城分局在侦办一起跨境网络开设赌场案件中,梳理发现一批用于接收、流转赌资的银行账户,并根据办案需要先后分批次依法对相关账户进行冻结。根据《中华人民共和国刑法》第三百零三条、《中华人民共和国刑事诉讼法》第一百四十四条和最高人民法院、最高人民检察院、公安部《办理跨境赌博犯罪案件若干问题的意见》等法律及相关司法解释,对于跨境赌博犯罪中用于接收、流转赌资的银行卡账户内的资金,需由犯罪嫌疑人、被告人提出资金合法来源及性质,不能提出合法来源的可以认定为赌资并予以追缴。现为全面收集、审查被冻结银行卡账户内的资金来源、性质等相关情况,特向该案被冻结银行卡持卡人通告如下:一、该通告发布之日起60日内,请被冻结银行卡账户持卡人携带本人有效身份证件、相关银行卡2022年1月至今的交易流水、相关银行卡内交易资金的合法性来源证明等相关材料到枣庄市公安局峄城分局说明情况。二、持卡人规定期限内未说明账户内资金合法来源或者无法说明款项合法来源的,司法机关将依法对涉案银行账户及账户内的资金进行处置。 三、持卡人参与网络赌博等违法犯罪活动的,在看到通告后,及时向公安机关投案自首,争取宽大处理。四、帮助他人犯罪或者帮助犯罪嫌疑人、被告人逃避公安机关打击的,属犯罪行为,应及时向公安机关投案自首,争取宽大处理。因被冻结银行卡数量较多,相关持卡人自看到本通告后,应及时联系办案机关预约审核时间,同时准备好相关证明材料。联系人:卢警官、相警官 联系电话:0632-7992345
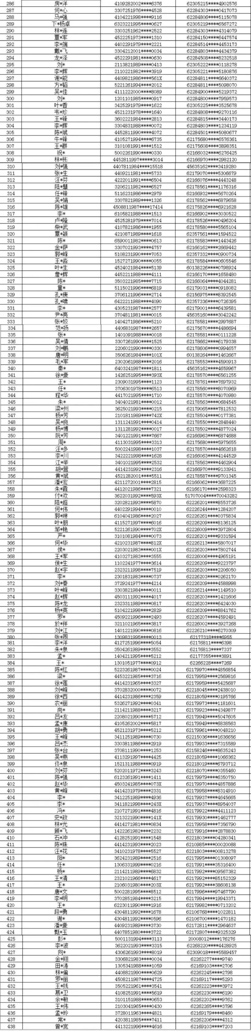
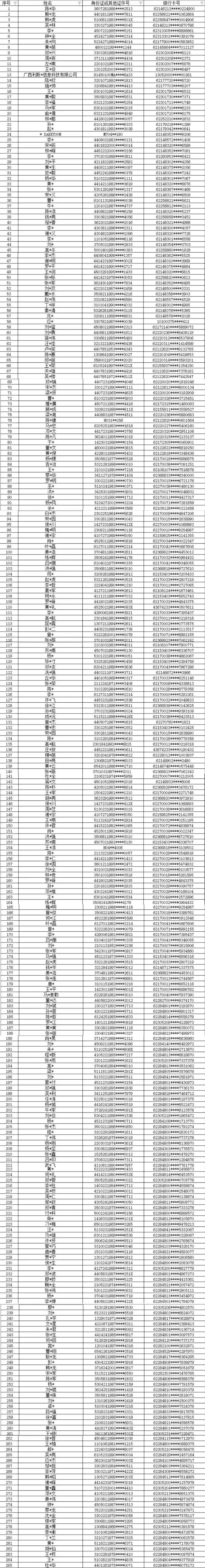
涉案银行卡详情如下:

